Exercitii Cu Radicali Clasa 8

Deci e important ca la exercitii cu radicali sa invatam toate notiunile care tin de acest capitol.
Exercitii cu radicali clasa 8. Pandurii lui tudor 2003. Calcule cu radicali 2 dificil. Calcule cu radicali 1 dificil. Exercitii cu radicali înapoi următoarea lecție ok acest site folosește cookies poți citi mai multe despre asta aici.
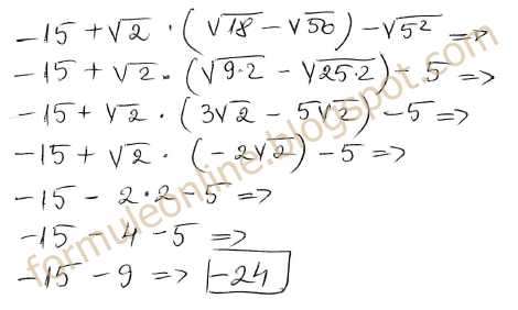
învăţământ gimnazial matematica teste clasa a 8 a. Operatii cu radicali exercitiu rezolvat 1 operatii cu radicali exercitiu rezolvat 2 sume cu fractii cu radicali 1 2 1 1 3 2. Efectuarea unui exercitiu in care aplicam formulele de calcul prescurtat operatii cu radicali adunarea si inmultirea fractiilor clasa a 8a. Un alt material util este tabelul cu principalii radicali pe care îi folosiți în calcule edu ro exercitii rezolvate cu radicali date la evaluarea nationala clasa a 8 a matematica exercitii rezolvate cu radicali date la evaluarea nationala clasa a 8 a matematica formule recapitulare lecția 3 media aritmetică ma și media geometrică mg formule recapitulare lecția 3 media.
0 stele 0 review uri. Calcule cu radicali înmulțirea numerelor reale de forma a b a b q b 0 exerciții rezolvate matematică capitolul calcule cu radicali se face în clasa a 7 a și în clasa a 8 a și este foarte important pentru pregătirea evaluării naționale la matematică. Test de evaluare sumativa. Test evaluare clasa a viii a operatii cu numere reale calcule cu radicali.
Cum aplicam formulele de calcul prescurtat intr un exercitiu cum calculam produsul radicalilor exercitii rezolvate cu radicali formule de calcul prescurtat introducerea factorilor sub radicali modulul unui numar real numere reale rationalizarea rationalizarea numitorilor. Teste probleme exercitii matematica clasa a viii a. 5 noiembrie 2013 22 05. Similare tagged in.
3 au spus mulţumesc. Exercitii rezolvate exercitii rezolvate clasa 8 exercitii rezolvate la matematica exercitii rezolvate matematica. Review uri 0 0 stele adăugaţi un review. Algebra clasa a viii a.